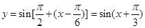
题目内容
要得到函数y= sinx的图象,只需将函数
的图象( )
A、向右平移
个单位
B、向右平移
个单位;
C、向左平移
个单位 D、向左平移
个单位;
【答案】
B
【解析】
试题分析:首先函数
化为
.即由函数
的图像向右平移
可得函数
的图像.所以选B.本校题要注意函数
是要得到的函数.否则易做反了.
考点:1.正余弦函数的平移.2.关注诱导公式的变形.
练习册系列答案
相关题目
要得到函数y=sinx的图象,只需将函数y=sin(x+
)的图象( )
| π |
| 6 |
A、向右平移
| ||
B、向右平移
| ||
C、向左平移
| ||
D、向左平移
|
要得到函数y=sinx的图象,只需将函数y=cos(x-
)的图象( )
| π |
| 6 |
A、向右平移
| ||
B、向右平移
| ||
C、向左平移
| ||
D、向左平移
|