题目内容
已知实数
满足不等式组
,则
的最大值是 .
【答案】
![]()
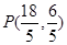
【解析】不等式表示的平面区域如图所示为四边形
及其内部,
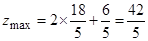
的几何意义为直线
在
轴上的截距,由图可知,当直线
经过点
时,截距最大,解方程
得
,所以
.
考点:简单的线性规划.
练习册系列答案
相关题目