题目内容

如图,PA垂直于矩形ABCD所在的平面,E、F分别是AB、PD的中点.

(1)求证:AF∥平面PCE;

(2)若二面角P-CD-B为45°,求证:平面PCE⊥平面PCD;

(3)在(2)的条件下,若AD=2,CD=2,求F到平面PCE的距离.

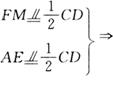
(1)证明:如图,取PC的中点为M,连结EM、FM.

    由FMAE四边形AFME为平行四边形

    AF∥面PCE.

(2)证明:CD⊥PD.

    则∠PDA为二面角PCDB的平面角.

    ∠PDA=45°,故△PAD为等腰直角三角形.

   

    面PCE⊥面PCD.

    (3)解:作FH⊥PC,

    FH⊥面PCE,

    即FH为点F到面PCE的距离.

    由AD=2,可得PD=2.又由CD=2,

    则有PC==4.

    又由Rt△PHF∽Rt△PDC,则

    =FH=

    ==1.

练习册系列答案
相关题目

违法和不良信息举报电话:027-86699610 举报邮箱:58377363@163.com

精英家教网