题目内容
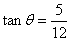
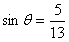
如图,一架飞机原计划从空中A处直飞相距680km的空中B处,为避开直飞途中的雷雨云层,飞机在A处沿与原飞行方向成θ角的方向飞行,在中途C处转向与原方向线成45°角的方向直飞到达B处,已知sinθ=
。
(1)在飞行路径△ABC中,求tanC;
(2)求新的飞行路程比原路程多多少km。
(参考数据:
=1.414,
=1.732)
(1)在飞行路径△ABC中,求tanC;
(2)求新的飞行路程比原路程多多少km。
(参考数据:
解:(1)
,θ是锐角,
所以,
,
所以,

。
(2)
,
由正弦定理
,
得
,
,
新的飞行路程比原路程多
。
所以,
所以,
(2)
由正弦定理
得
新的飞行路程比原路程多
练习册系列答案
相关题目