题目内容

已知函数f(x)=x2-2,g(x)=xlnx,
(1)若对一切x∈(0,+∞),2g(x)≥ax-5-f(x)恒成立, 求实数a的取值范围;
(2)试判断方程ln(1+x2)-f(x)-k=0有几个实根。
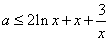
解:(1)若对一切
恒成立,
恒成立,
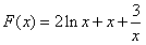
恒成立,


时,x=1,F(x)在(0,1)递减,在(1,+∞)递增,

∴只需a≤4。
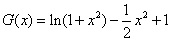
(2)将原方程化为
,G(x)为偶函数,且G(0)=1,
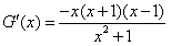
当x>0时,

(-∞,-1)

-1

(-1,0)

0

(0,1)

1

(1,+∞)

+

0

-

0

+

0

-

递增

极大值+ln2

递减

极小值1

递增

极大值+ln2

递减

,且
∴当时,无解;
或k=1时,三解;
时,四解;
当k<1时,两解。
练习册系列答案
相关题目

违法和不良信息举报电话:027-86699610 举报邮箱:58377363@163.com

精英家教网