题目内容
已知
,则
=( )
A.
B.
C.
D.![]()
【答案】
C
【解析】
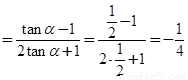
试题分析:
,所以
.
![]()
.
考点:同角三角函数基本关系式.
练习册系列答案
相关题目
题目内容
已知
,则
=( )
A.
B.
C.
D.![]()
C
【解析】
试题分析:
,所以
.
![]()
.
考点:同角三角函数基本关系式.