题目内容
已知等差数列{an}满足:a3=7,a5+a7= 26,{an}的前n项和为Sn。
(I)求an及Sn;
(Ⅱ)令
,求数列{bn}的前n项和Tn。
(I)求an及Sn;
(Ⅱ)令
解:(I)设等差数列{an}的首项为a1,公差为d,由于a3=7,a5+a7=26
所以a1+2d=7,2a1+10d=26
解得a1=3,d=2
由于
所以an=2n+l,Sn=n(n+2);
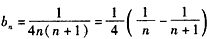
(Ⅱ)因为an=2n+1
所以a2-1=4n(n+1)
因此
故



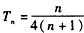
所以数列{bn}的前n项和
。
所以a1+2d=7,2a1+10d=26
解得a1=3,d=2
由于
所以an=2n+l,Sn=n(n+2);
(Ⅱ)因为an=2n+1
所以a2-1=4n(n+1)
因此
故
所以数列{bn}的前n项和
练习册系列答案
相关题目