题目内容
设函数
的定义域为
,若存在闭区间
,使得函数
满足:①
在
上是单调函数;②
在
上的值域是
,则称区间
是函数
的“和谐区间”.下列结论错误的是( )
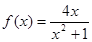
A.函数
(
)存在“和谐区间”
B.函数
(
)不存在“和谐区间”
C.函数![]()
![]()
)存在“和谐区间”
D.函数
(
)不存在“和谐区间”
【答案】
B
【解析】
试题分析:根据“和谐区间”的定义,我们只要寻找到符合条件的区间
即可,对函数
(
),“和谐区间”![]()
![]()
,函数
是增函数,若存在“和谐区间”
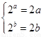
,则
,因为方程
有两个不等实根
和
,故
,即区间
是函数
的“和谐区间”,B错误,选B,根据选择题的特征,下面C,D显然应该是正确的(事实上, 函数![]()
![]()
)的“和谐区间”为
,
在其定义域内是单调增函数,若有“和谐区间”
,则方程
有两个不等实根,但此方程无实根,因此函数
不存在“和谐区间”).
考点:新定义的理解,函数的单调性,方程的解.
练习册系列答案
相关题目