题目内容
已知f(x)是定义在[-1,1]上的奇函数,若任意的a、b∈[-1,1],且a+b≠0,都有(1)判断f(x)在[-1,1]上的单调性,并证明你的结论;
(2)解不等式:f(x+1)<f(
【答案】分析:(1)任取x1、x2两数使x1、x2∈[-1,1],且x1<x2,进而根据函数为奇函数推知f(x1)-f(x2)=f(x1)+f(-x2),让f(x1)+f(-x2)除以x1-x2再乘以x1-x2配出
的形式,进而判断出f(x1)-f(x2)与0的关系,进而证明出函数的单调性.
(2)根据函数f(x)在[-1,1]上是增函数知:
进而可解得x的范围.
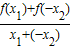
解答:解:(1)任取x1、x2∈[-1,1],且x1<x2,则-x2∈[-1,1].又f(x)是奇函数,于是
f(x1)-f(x2)=f(x1)+f(-x2)
=
•(x1-x2).
据已知
>0,x1-x2<0,
∴f(x1)-f(x2)<0,即f(x1)<f(x2).
∴f(x)在[-1,1]上是增函数.
(2)由f(x)在[-1,1]上是增函数知:
,解得
,
故不等式的解集为{x|-2≤x<-
}.
点评:本题主要考查函数的单调性和奇偶性的综合运用.在解题时要利用好单调性和奇偶性的定义.
(2)根据函数f(x)在[-1,1]上是增函数知:
解答:解:(1)任取x1、x2∈[-1,1],且x1<x2,则-x2∈[-1,1].又f(x)是奇函数,于是
f(x1)-f(x2)=f(x1)+f(-x2)
=
据已知
∴f(x1)-f(x2)<0,即f(x1)<f(x2).
∴f(x)在[-1,1]上是增函数.
(2)由f(x)在[-1,1]上是增函数知:
故不等式的解集为{x|-2≤x<-
点评:本题主要考查函数的单调性和奇偶性的综合运用.在解题时要利用好单调性和奇偶性的定义.
练习册系列答案
相关题目