题目内容
已知圆O的半径为1,PA,PB为该圆的两条切线,A,B为两切点,则A.
B.
C.
D.
【答案】分析:设
与
的夹角为α,将
表示成关于tanα的分式函数,令tan2α=x,得
=
(x>0),利用导数研究它的单调性,可得当x=1+
时,即tan2α=1+
时,
有最小值,由此即可算出|
|2=-1+
,由勾股定理可算出此时OP的长,从而得到本题答案.
解答:解:设
与
的夹角为α,则|
|=|
|=
∴
=
•
|cos2α|
=
•cos2α=
•
=
令tan2α=x,得
=
(x>0)
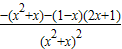
∵f(x)=
的导数f'(x)=
=
∴0<x<1+
时,f'(x)<0;x>1+
时,f'(x)>0
可得f(x)在区间(0,1+
)上是减函数,在区间(1+
,+∞)上是增函数
∴当x=1+
时,即tan2α=1+
时,
有最小值f(1+
)=-3+2
此时,|
|2=
=-1+
,可得|OP|=
=
=
故选:B
点评:本题给出圆外一点P,由P引圆的两条切线,求向量数量积的最小值,着重考查了直线与圆的位置关系、利用导数研究函数的单调性和平面向量数量积的运算等知识,属于中档题.
解答:解:设
∴
=
令tan2α=x,得
∵f(x)=
∴0<x<1+
可得f(x)在区间(0,1+
∴当x=1+
此时,|
故选:B
点评:本题给出圆外一点P,由P引圆的两条切线,求向量数量积的最小值,着重考查了直线与圆的位置关系、利用导数研究函数的单调性和平面向量数量积的运算等知识,属于中档题.
练习册系列答案
相关题目
已知圆O的半径为1,PA、PB为该圆的两条切线,A、B为两切点,那么
•
的最小值为( )
| PA |
| PB |
A、-4+
| ||
B、-3+
| ||
C、-4+2
| ||
D、-3+2
|