题目内容
已知函数f(x) 满足(1)求f(x)的解析式;
(2)判断f(x)的奇偶性;
(3)当0<a<1时,解不等式f(x)≥loga2.
【答案】分析:(1)设t=x-1,则x=t+1,代入条件,即可求得函数解析式;
(2)确定函数的定义域,利用奇函数的定义可得结论;
(3)当0<a<1时,不等式f(x)≥loga2等价于
,由此可得不等式的解集.
解答:解:(1)设t=x-1,则x=t+1,
∴f(t)=
(a>0且a≠1),
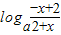
∴f(x)=
(a>0且a≠1);
(2)由
>0,可得函数的定义域为(-2,2)
∵f(-x)=
=-
=-f(x)
∴函数是奇函数;
(3)当0<a<1时,不等式f(x)≥loga2等价于
∴-2<x≤
即不等式f(x)≥loga2的解集为(-2,
].
点评:本题考查函数解析式的确定,考查函数的奇偶性,考查解不等式,属于中档题.
(2)确定函数的定义域,利用奇函数的定义可得结论;
(3)当0<a<1时,不等式f(x)≥loga2等价于
解答:解:(1)设t=x-1,则x=t+1,
∴f(t)=
∴f(x)=
(2)由
∵f(-x)=
∴函数是奇函数;
(3)当0<a<1时,不等式f(x)≥loga2等价于
∴-2<x≤
即不等式f(x)≥loga2的解集为(-2,
点评:本题考查函数解析式的确定,考查函数的奇偶性,考查解不等式,属于中档题.
练习册系列答案
相关题目
已知函数f(x)为R上的连续函数且存在反函数f-1(x),若函数f(x)满足下表:

那么,不等式|f-1(x-1)|<2的解集是( )
那么,不等式|f-1(x-1)|<2的解集是( )
A、{x|
| ||
B、{x|
| ||
| C、{x|1<x<2} | ||
| D、{x|1<x<5} |