题目内容
已知数列{an}的前n项和为Sn(Sn≠0),且
,
.
(1)求证:
是等差数列;
(2)求an;
(3)若
.
(1)求证:
(2)求an;
(3)若
解:(1)∵an+2SnSn﹣1=0,n≥2,
∴Sn﹣Sn﹣1+2SnSn﹣1=0,
∴
.
∴
是首项为
,公差等于2的等差数列.
∴
,
∴
.
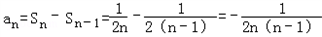
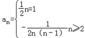
(2)当n≥2时,
,
当n=1时,
,
∴
.
(3)当n≥2时,
=
(
),
则 b2+…+b10=
(
﹣
+
+…+
)=
(
+
﹣
﹣
)=
.
∴Sn﹣Sn﹣1+2SnSn﹣1=0,
∴
∴
∴
∴
(2)当n≥2时,
当n=1时,
∴
(3)当n≥2时,
则 b2+…+b10=
练习册系列答案
相关题目
已知数列{an}的前n项和Sn=an2+bn(a、b∈R),且S25=100,则a12+a14等于( )
| A、16 | B、8 | C、4 | D、不确定 |