题目内容
已知f(x)=xlnx,g(x)=-x2+ax-3(1)求函数f(x)在[t,t+2](t>0)上的最小值;
(2)对一切x∈(0,+∞),2f(x)≥g(x)恒成立,求实数a的取值范围;
(3)证明对一切x∈(0,+∞),都有lnx>
【答案】分析:(1)讨论
与区间[t,t+2](t>0)的关系,利用导数研究函数的单调性就看得出;
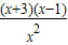
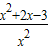
(2)对一切x∈(0,+∞),2f(x)≥g(x)恒成立,即-x2+ax-3≤2xlnx≤0,x∈(0,+∞).
?
恒成立,x∈(0,+∞).?a≤
,x∈(0,+∞).
利用导数求出其最小值即可.
(3)变形为:对一切x∈(0,+∞),都有lnx>
-
成立?
.利用导数分别求出即可.
解答:解:(1)f′(x)=lnx+1,令f′(x)=0,解得
.∴f(x)在
上单调递减,在
上单调递增.
∵x∈[t,t+2](t>0),
①当
时,f(x)在[t,t+2](t>0)上单调递增,∴f(x)在x=t时取得最小值,f(t)=tlnt;
②当
时,f(x)在x=
取得最小值,
=
;
(2)对一切x∈(0,+∞),2f(x)≥g(x)恒成立,即-x2+ax-3≤2xlnx≤0,x∈(0,+∞).
?
恒成立,x∈(0,+∞).?a≤
,x∈(0,+∞).
令u(x)=
,x∈(0,+∞).
则
=
=
,可知当且仅当x=1时,u(x)取得最小值,且u(1)=4.
∴a≤4.
(3)对一切x∈(0,+∞),都有lnx>
-
成立?
.
令
,(x>0).
∵
,可知当且仅当x=1,u(x)取得最大值,且u(1)=
.
由(1)可知:(xlnx)min(x>0)=
,而
.
因此
.
即对一切x∈(0,+∞),都有lnx>
-
成立.
点评:熟练掌握利用导数研究函数的单调性极值与最值、分离参数法、等价转化等是解题的关键.
(2)对一切x∈(0,+∞),2f(x)≥g(x)恒成立,即-x2+ax-3≤2xlnx≤0,x∈(0,+∞).
?
利用导数求出其最小值即可.
(3)变形为:对一切x∈(0,+∞),都有lnx>
解答:解:(1)f′(x)=lnx+1,令f′(x)=0,解得
∵x∈[t,t+2](t>0),
①当
②当
(2)对一切x∈(0,+∞),2f(x)≥g(x)恒成立,即-x2+ax-3≤2xlnx≤0,x∈(0,+∞).
?
令u(x)=
则
∴a≤4.
(3)对一切x∈(0,+∞),都有lnx>
令
∵
由(1)可知:(xlnx)min(x>0)=
因此
即对一切x∈(0,+∞),都有lnx>
点评:熟练掌握利用导数研究函数的单调性极值与最值、分离参数法、等价转化等是解题的关键.
练习册系列答案
相关题目