搜索
题目内容
设f(x)=
x
3
+
x
2
+2ax,若f(x)在
存在单调增区间,求a的取值范围。
试题答案
相关练习册答案
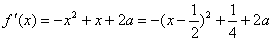
解:由
,
当
的最大值为
;
令
,
所以,当
时,f(x)在
上存在单调递增区间。
练习册系列答案
优加学案中考真题详解汇编系列答案
同行课课100分过关作业系列答案
举一反三全能训练系列答案
快乐的假期生活寒假作业哈尔滨出版社系列答案
寒假作业陕西人民教育出版社系列答案
活力假期期末寒假衔接系列答案
新锐图书复习计划期末寒假衔接系列答案
高考导航系列丛书假期作业寒假系列答案
寒假作业教育科学出版社系列答案
寒假假期快乐练南方出版社系列答案
相关题目
3、设f(x)=x
3
+x-8,现用二分法求方程x
3
+x-8=0在区间(1,2)内的近似解,计算得f(1)<0,f(1.5)<0,f(1.75)<0,f(2)>0,则方程的根所在的区间是( )
A、(1,1.5)
B、(1.5,1.75)
C、(1.75,2)
D、不能确定
设f(x)=x
3
+ax
2
+bx+c,又k是一个常数,已知当k<0或k>4时,f(x)-k=0只有一个实根,当0<k<4时,f(x)-k=0有三个相异实根,现给出下列命题:
(1)f(x)-4=0和f′(x)=0有且只有一个相同的实根.
(2)f(x)=0和f′(x)=0有且只有一个相同的实根.
(3)f(x)+3=0的任一实根大于f(x)-1=0的任一实根.
(4)f(x)+5=0的任一实根小于f(x)-2=0的任一实根.
其中错误命题的个数为( )
A.4
B.3
C.2
D.1
(2013•韶关一模)设f(x)在区间I上有定义,若对?x
1
,x
2
∈I,都有
f(
x
1
+
x
2
2
)≥
f(
x
1
)+f(
x
2
)
2
,则称f(x)是区间I的向上凸函数;若对?x
1
,x
2
∈I,都有
f(
x
1
+
x
2
2
)≤
f(
x
1
)+f(
x
2
)
2
,则称f(x)是区间I的向下凸函数,有下列四个判断:
①若f(x)是区间I的向上凸函数,则-f(x)在区间I的向下凸函数;
②若f(x)和g(x)都是区间I的向上凸函数,则f(x)+g(x)是区间I的向上凸函数;
③若f(x)在区间I的向下凸函数,且f(x)≠0,则
1
f(x)
是区间I的向上凸函数;
④若f(x)是区间I的向上凸函数,?x
1
,x
2
,x
3
,x
4
∈I,则有f(
x
1
+
x
2
+
x
3
+
x
4
4
)≥
f(
x
1
)+f(
x
2
)+f(
x
3
)+f(
x
4
)
4
其中正确的结论个数是( )
A.1
B.2
C.3
D.4
(2006•朝阳区二模)已知函数f(x)=x
3
-
3
2
mx
2
+n
,1<m<2
(Ⅰ)若f(x)在区间[-1,1]上的最大值为1,最小值为-2,求m、n的值;
(Ⅱ)在(Ⅰ)的条件下,求经过点P(2,1)且与曲线f(x)相切的直线l的方程;
(Ⅲ)设函数f(x)的导函数为g(x),函数F(x)=
g(x)+3x+1
6
•
e
2x
,试判断函数F(x)的极值点个数,并求出相应实数m的范围.
设函数f(x)是定义在R上的偶函数,且f(x+2)=f(x)恒成立;当x∈[0,1]时,f(x)=x
3
-4x+3.有下列命题:
①
f(-
3
4
) <f(
15
2
)
;
②当x∈[-1,0]时f(x)=x
3
+4x+3;
③f(x)(x≥0)的图象与x轴的交点的横坐标由小到大构成一个无穷等差数列;
④关于x的方程f(x)=|x|在x∈[-3,4]上有7个不同的根.
其中真命题的个数为( )
A.1个
B.2个
C.3个
D.4个
关 闭
试题分类
高中
数学
英语
物理
化学
生物
地理
初中
数学
英语
物理
化学
生物
地理
小学
数学
英语
其他
阅读理解答案
已回答习题
未回答习题
题目汇总
试卷汇总
练习册解析答案