题目内容
设函数f(x)=x(x-1)(x-a),(a>1)。
(1)求导数f′(x),并证明f(x)有两个不同的极值点x1,x2;
(2)若不等式f(x1)+f(x2)≤0成立,求a的取值范围。
(1)求导数f′(x),并证明f(x)有两个不同的极值点x1,x2;
(2)若不等式f(x1)+f(x2)≤0成立,求a的取值范围。
解:
令
得方程
因
故方程有两个不同实根
不妨设
由
可判定f′(x)的符号如下:
当
时,f'(x)>0
当
时,
当
时,
因此
是极大值点,
是极小值点。
(2)因
,故得不等式

即
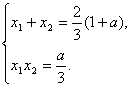
又由(1)知
代入前面不等式,两边除以(1+a),并化简得
解不等式得
或
(舍去)
因此,当
时,不等式
成立。
令
因
故方程有两个不同实根
不妨设
由
当
当
当
因此
(2)因
即
又由(1)知
代入前面不等式,两边除以(1+a),并化简得
解不等式得
因此,当
练习册系列答案
相关题目
设函数f(x)的定义域为A,若存在非零实数t,使得对于任意x∈C(C⊆A),有x+t∈A,且f(x+t)≤f(x),则称f(x)为C上的t低调函数.如果定义域为[0,+∞)的函数f(x)=-|x-m2|+m2,且 f(x)为[0,+∞)上的10低调函数,那么实数m的取值范围是( )
| A、[-5,5] | ||||||||
B、[-
| ||||||||
C、[-
| ||||||||
D、[-
|