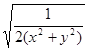
题目内容
已知
,则下面四个数中最小的是
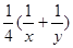
A.
B.
C.
D.![]()
C
练习册系列答案
相关题目
已知
,则下面四个数中最小的是
| A. | B. | C. | D. |
已知
,则下面四个数中最小的是
| A. | B. | C. | D. |
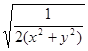
题目内容
已知
,则下面四个数中最小的是
A.
B.
C.
D.![]()
C
已知
,则下面四个数中最小的是
| A. | B. | C. | D. |
已知
,则下面四个数中最小的是
| A. | B. | C. | D. |