题目内容
设A(x1,y1),B(x2,y2)是函数(1)求证:M点的纵坐标为定值;
(2)若
(3)已知
【答案】分析:(1)由题设条件知M是AB的中点,由中点坐标公式可以求出M点的给坐标.
(2)
=
,即
以上两式相加后两边再同时除以2就得到Sn.
(3)当n≥2时,根据题设条件,由Tn<λ(Sn+1+1)得
,
∴
,再由均值不等式求出λ的取值范围.
解答:解:(1)∵
∴M是AB的中点,设M点的坐标为M(x,y),
由
,得x1+x2=1,则x2=1-x1
而
=
∴M点的纵坐标为定值
(2)由(1)知若x1+x2=1则f(x1)+f(x2)=y1+y2=1,
=
即
以上两式相加得:
═
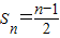
∴
(3)当n≥2时,
∴Tn=a1+a2+…+an=
=
由Tn<λ(Sn+1+1)得
∴
∵
,当且仅当n=2时“=”成立
∴
.
因此
,即λ的取值范围为
点评:本题考查了中点坐标公式、数列求和、均值不等式、对数性质等知识点,难说度较大,解题时要认真审题,仔细作答.
(2)
以上两式相加后两边再同时除以2就得到Sn.
(3)当n≥2时,根据题设条件,由Tn<λ(Sn+1+1)得
∴
解答:解:(1)∵
∴M是AB的中点,设M点的坐标为M(x,y),
由
而
=
∴M点的纵坐标为定值
(2)由(1)知若x1+x2=1则f(x1)+f(x2)=y1+y2=1,
即
以上两式相加得:
∴
(3)当n≥2时,
∴Tn=a1+a2+…+an=
由Tn<λ(Sn+1+1)得
∴
∵
∴
因此
点评:本题考查了中点坐标公式、数列求和、均值不等式、对数性质等知识点,难说度较大,解题时要认真审题,仔细作答.
练习册系列答案
相关题目