题目内容
【答案】分析:有题中的条件,可建立空间直角坐标系,设出点E的坐标,利用构成二面角的两个半平面与其平面的法向量之间的关系,利用二面角的大小建立点E的坐标未知量的方程进而求解.
解答:
解:如图,以D为原点,射线DA、DC、DP为x,y,z轴的正方向建立空间直角坐标系,
则P(0,0,1),C(0,2,0),设E(1,y,0),则
,
设平面PEC的法向量为
∴
⇒
解之得x:y:z=(2-y):1:2,
记
=(2-y,1,2),而平面ECD的法向量
=(0,0,1),
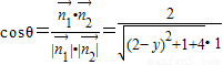
二面角P-EC-D的平面角
,
∴
=
,
∴
.
∴当
时,二面角P-EC-D的平面角为
.
点评:此题重点考查了利用空间向量借助平面的法向量的夹角与二面角的大小之间的关系,同时还考查了利用方程的思想解出未知的变量.
解答:
则P(0,0,1),C(0,2,0),设E(1,y,0),则
设平面PEC的法向量为
解之得x:y:z=(2-y):1:2,
记
二面角P-EC-D的平面角
∴
∴
∴当
点评:此题重点考查了利用空间向量借助平面的法向量的夹角与二面角的大小之间的关系,同时还考查了利用方程的思想解出未知的变量.
练习册系列答案
相关题目