题目内容
设函数f(x)=(x﹣1)2+blnx,其中b为常数.
(1)当
时,判断函数f(x)在定义域上的单调性;
(2)若函数f(x)的有极值点,求b的取值范围及f(x)的极值点;
(3)求证对任意不小于3的正整数n,不等式
都成立.
(1)当
(2)若函数f(x)的有极值点,求b的取值范围及f(x)的极值点;
(3)求证对任意不小于3的正整数n,不等式
解:(1)由题意知,f(x)的定义域为(0,+∞), 
∴当
时,f'(x)>0,函数f(x)在定义域(0,+∞)上单调递增.
(2)①由(Ⅰ)得,当
时,函数f(x)在定义域上无极值点.
②
时,
有两个相同的解
,
时,
∴
时,函数f(x)在(﹣1,+∞)上无极值点.
③当
时,f'(x)=0有两个不同解,
∴(i)b≤0时,
,
, 此时f'(x),f(x)随x在定义域上的变化情况如表:

(ii)当
时,0<x1<x2<1 此时,f'(x),f(x)随x的变化情况如下表:

综上所述:当且仅当
时f(x)有极值点;
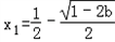
当b≤0时,f(x)有惟一最小值点
;
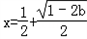
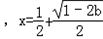
当
时,f(x)有一个极大值点
和一个极小值点
(3)由(2)可知当b=﹣1时,函数f(x)=(x﹣1)2﹣lnx,
此时f(x)有惟一极小值点
且
令函数h(x)=(x﹣1)﹣lnx(x>0)


∴当
(2)①由(Ⅰ)得,当
②
∴
③当
∴(i)b≤0时,
(ii)当
综上所述:当且仅当
当b≤0时,f(x)有惟一最小值点
当
(3)由(2)可知当b=﹣1时,函数f(x)=(x﹣1)2﹣lnx,
此时f(x)有惟一极小值点
令函数h(x)=(x﹣1)﹣lnx(x>0)
练习册系列答案
相关题目