题目内容
已知函数f(x)=cos2x-
sinxcosx+1,
(Ⅰ)求函数f(x)的单调递增区间;
(Ⅱ)若
,θ∈
,求sin2θ的值。
(Ⅰ)求函数f(x)的单调递增区间;
(Ⅱ)若
解:(Ⅰ)

,
由
,得
(k∈Z),
∴函数f(x)的单调递增区间是
(k∈Z)。
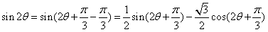
(Ⅱ)∵
,
∴
,
,
∵
,
∴
,
,
∴
。
由
∴函数f(x)的单调递增区间是
(Ⅱ)∵
∴
∵
∴
∴
练习册系列答案
相关题目
已知函数f(x)=
,则关于x的方程f2(x)+bf(x)+c=0有5个不同实数解的充要条件是( )
|
| A、b<-2且c>0 |
| B、b>-2且c<0 |
| C、b<-2且c=0 |
| D、b≥-2且c=0 |