搜索
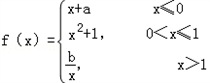
题目内容
( )。
试题答案
相关练习册答案
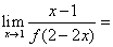
-2
练习册系列答案
品优课堂系列答案
核心课堂武汉大学出版社系列答案
冠军练加考系列答案
考点集训与满分备考系列答案
课堂小测6分钟系列答案
名师金手指领衔课时系列答案
期末满分冲刺阶段练习与单元测试系列答案
轻松15分导学案系列答案
点燃思维全能课时训练系列答案
全优课程达标快乐英语1加1系列答案
相关题目
若
,则r的取值范围是( ).
若
,则
[ ]
A.-1
B.1
C.-
D.
若q为二项式
的展开式中的常数项,则
( )。
将直线l
1
:nx+y-n=0、l
2
:x+ny-n=0(n∈N*)、x轴、y轴围成的封闭区域的面积记为S
n
,则
( )。
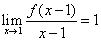
若
,则常数a、b的值为
[ ]
A、a=-2,b=4
B、a=2,b=-4
C、a=-2,b=4
D、a=2,b=4
已知函数
,在定义域内连续,则b-a=( )。
下列四个图象所表示的函数,在点x=0处连续的是
[ ]
A、
B、
C、
D、
已知点P是曲线y=x
3
+2x+1上的一点,过点P与此曲线的相切的直线l平行于直线y=2x-3,则切线l的方程是
[ ]
A.y=-
x+1
B.y=2x+1
C.y=2x
D.y=2x+1或y=2x
关 闭
试题分类
高中
数学
英语
物理
化学
生物
地理
初中
数学
英语
物理
化学
生物
地理
小学
数学
英语
其他
阅读理解答案
已回答习题
未回答习题
题目汇总
试卷汇总
练习册解析答案