题目内容
已知函数(1)确定y=f(x)在(0,+∞)上的单调性;?
(2)设h(x)=x•f(x)-x-ax3在(0,2)上有极值,求a的取值范围.
【答案】分析:(1)由题意,先对函数f(x)求导,有式子特点分析得出结论;
(2)由题意,利用式子的特点及函数极值的定义分析函数在定义域内倒数的正负符号进而求解.
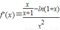
解答:解:(1)由已知函数求导得
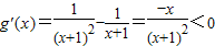
设
,则
?
∴g(x)在(0,+∞)上递减,g(x)<g(0)=0,∴f′(x)<0,
因此f(x)在(0,+∞)上单调递减.?
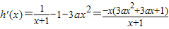
(2)由h(x)=xf(x)-x-ax3可得,h(x)=ln(1+x)-x-ax3
?
若a≥0,任给x∈(0,+∞),
,-3ax2<0,∴h′(x)<0,
∴h(x)在(0,2)上单调递减,则f(x)在(0,2)无极值;?
若a<0,h(x)=x•f(x)-x-ax3在(0,2)上有极值的充要条件是
φ(x)=3ax2+3ax+1在(0,2)上有零点,?
∴φ(0)•φ(2)<0,解得
综上所述,a的取值范围是(-∞,
).
点评:(1)此问重点考查了利用导函数求函数的单调区间;
(2)此问重点考查了函数极值的概念及函数在定义域下存在极值的充要条件,在解题过程中有考查了不等式在求解是分类讨论的思想.
(2)由题意,利用式子的特点及函数极值的定义分析函数在定义域内倒数的正负符号进而求解.
解答:解:(1)由已知函数求导得
设
∴g(x)在(0,+∞)上递减,g(x)<g(0)=0,∴f′(x)<0,
因此f(x)在(0,+∞)上单调递减.?
(2)由h(x)=xf(x)-x-ax3可得,h(x)=ln(1+x)-x-ax3
若a≥0,任给x∈(0,+∞),
∴h(x)在(0,2)上单调递减,则f(x)在(0,2)无极值;?
若a<0,h(x)=x•f(x)-x-ax3在(0,2)上有极值的充要条件是
φ(x)=3ax2+3ax+1在(0,2)上有零点,?
∴φ(0)•φ(2)<0,解得
点评:(1)此问重点考查了利用导函数求函数的单调区间;
(2)此问重点考查了函数极值的概念及函数在定义域下存在极值的充要条件,在解题过程中有考查了不等式在求解是分类讨论的思想.
练习册系列答案
相关题目