题目内容

已知函数(其中ω>0),直线x=x1、x=x2是y=f(x)图象的任意两条对称轴,且|x1-x2|的最小值为
(1)求ω的值;
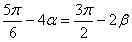
(2)若,求的值。
解:(1)
,      

所以
(2)



(或设,则,从而)。
练习册系列答案
相关题目

违法和不良信息举报电话:027-86699610 举报邮箱:58377363@163.com

精英家教网