题目内容
已知函数f(x)=ex+2x2﹣3x.
(1)求曲线y=f(x)在点(1,f(1))处的切线方程;
(2)求证函数f(x)在区间[0,1]上存在唯一的极值点;
(3)当
时,若关于x的不等式
恒成立,试求实数a的取值范围.
(1)求曲线y=f(x)在点(1,f(1))处的切线方程;
(2)求证函数f(x)在区间[0,1]上存在唯一的极值点;
(3)当
解:(1)f′(x)=ex+4x﹣3,则f'(1)=e+1,
又f(1)=e﹣1,
∴曲线y=f(x)在点(1,f(1))处的切线方程为y﹣e+1=(e+1)(x﹣1),
即(e+1)x﹣y﹣2=0;
(2)∵f′(0)=e0﹣3=﹣2<0,f′(1)=e+1>0,
∴f′(0)·f′(1)<0,
令h(x)=f′(x)=ex+4x﹣3,
则h′(x)=ex+4>0,
∴f′(x)在[0,1]上单调递增,
∴f′(x)在[0,1]上存在唯一零点,
∴f(x)在[0,1]上存在唯一的极值点
(3)由
,
得
,
即
,
∵
,∴
,
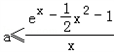
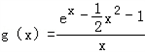
令
,则
,
令
,
则Φ'(x)=x(ex﹣1)
∵
,∴Φ'(x)>0,
∴Φ(x)在
上单调递增,
∴
,
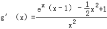
因此g'(x)>0,
故g(x)在
上单调递增,
则
.
又f(1)=e﹣1,
∴曲线y=f(x)在点(1,f(1))处的切线方程为y﹣e+1=(e+1)(x﹣1),
即(e+1)x﹣y﹣2=0;
(2)∵f′(0)=e0﹣3=﹣2<0,f′(1)=e+1>0,
∴f′(0)·f′(1)<0,
令h(x)=f′(x)=ex+4x﹣3,
则h′(x)=ex+4>0,
∴f′(x)在[0,1]上单调递增,
∴f′(x)在[0,1]上存在唯一零点,
∴f(x)在[0,1]上存在唯一的极值点
(3)由
得
即
∵
令
令
则Φ'(x)=x(ex﹣1)
∵
∴Φ(x)在
∴
因此g'(x)>0,
故g(x)在
则
练习册系列答案
相关题目