题目内容

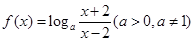
给出函数

求函数的定义域;

判断函数的奇偶性;

 

【答案】

(1);(2)奇函数

【解析】

试题分析:(1)由对数函数的定义域是真数大于零,所以可得.分式不等式转化为二次不等式即(x+2)(x-2)>0.所以求得x的范围.

(2)函数的奇偶性的判断,通过奇偶性的定义来判断.因为=.通过对数的性质可得f(-x)==.所以可得函数是奇函数的.

试题解析:( 1)由题意,解得:,所以,函数定义域为

(2)由(1)可知定义域关于原点对称,则 == ==.所以函数为奇函数.

考点:1.对数函数的知识.2.对数函数的定义域.3.函数的奇偶性.

 

练习册系列答案
相关题目

违法和不良信息举报电话:027-86699610 举报邮箱:58377363@163.com

精英家教网