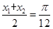
题目内容
函数
的部分图像如图所示,如果
,且
,则
( )
![]()
A.
B.
C.
D.1
【答案】
D
【解析】
试题分析:由图可知,函数
关于直线
对称,且
.如果
,且
,则易知
关于直线
对称,所以
.所以
.
考点:三角函数的图像与性质
练习册系列答案
相关题目
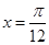
题目内容
函数
的部分图像如图所示,如果
,且
,则
( )
![]()
A.
B.
C.
D.1
D
【解析】
试题分析:由图可知,函数
关于直线
对称,且
.如果
,且
,则易知
关于直线
对称,所以
.所以
.
考点:三角函数的图像与性质