题目内容
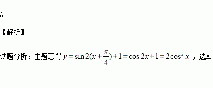
将函数
的图象向左平移
个单位,再向上平移1个单位,所得图象的函数解析式是( )
A.
B.![]()
C.
D.![]()
练习册系列答案
相关题目
在中学生综合素质评价某个维度的测评中,分“优秀、合格、尚待改进”三个等级进行学生互评.某校高一年级有男生500人,女生400人,为了了解性别对该维度测评结果的影响,采用分层抽样方法从高一年级抽取了45名学生的测评结果,并作出频数统计表如下:
表1:男生
等级 | 优秀 | 合格 | 尚待改进 |
频数 | 15 |
| 5 |
表2:女生
等级 | 优秀 | 合格 | 尚待改进 |
频数 | 15 | 3 |
|
(1)从表二的非优秀学生中随机选取2人交谈,求所选2人中恰有1人测评等级为合格的概率;
(2)由表中统计数据填写下边
列联表,试采用独立性检验进行分析,能否在犯错误的概率不超过0.1的前提下认为“测评结果优秀与性别有关”.
男生 | 女生 | 总计 | |
优秀 | |||
非优秀 | |||
总计 |
| 0.10 | 0.05 | 0.01 |
| 2.706 | 3.841 | 6.635 |
参考数据与公式:
,其中
.