题目内容
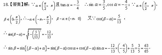
已知<α<π,0<β<,tanα=- ,cos(β-α)= ,求sinβ的值.
()(本小题满分12分)已知<<<,
(Ⅰ)求的值.
(Ⅱ)求.
已知<<<,
(Ⅰ)求的值.(Ⅱ)求.
(本题满分14分)已知<<<,