题目内容
已知{an}为等差数列,a1+a3+a5=105,a2+a4+a6=99,以Sn表示{an}的前项和,则使得Sn达到最大值的是 .
【答案】分析:利用等差数列的通项公式表示出特设中的等式,联立求得a1和d,进而求得a20>0,a21<0,判断数列的前20项为正,故可知数列的前20项的和最大.
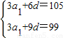
解答:解:设等差数列公差为d,则有
解得a1=39,d=-2
∴a20=39-2×19=1>0,a21=39-2×20=-1<0
∴数列的前20项为正,
∴使得Sn达到最大值的是20
故答案为20
点评:本题主要考查了等差数列的性质.解题的关键是判断从数列的哪一项开始为负.
解答:解:设等差数列公差为d,则有
∴a20=39-2×19=1>0,a21=39-2×20=-1<0
∴数列的前20项为正,
∴使得Sn达到最大值的是20
故答案为20
点评:本题主要考查了等差数列的性质.解题的关键是判断从数列的哪一项开始为负.
练习册系列答案
相关题目