题目内容
已知单调递增的等比数列
满足:
,且
是
,
的等差中项。
(1)求数列
的通项公式;
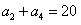
(2)若
,
,对任意正整数n,
恒成立,试求m的取值范围。
(1)求数列
(2)若
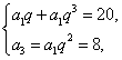
解:(1)设等比数列
的首项为
,公比为q,
依题意,有
,
代入
,得
,
∴
,
∴
解得:
或
,
又
单调递增,
∴
,
∴
。
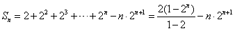
(2)由(1)知,
,
∴
, ①
, ②
∴①-②,得

,
由
,
即
对任意正整数n恒成立,
∴
对任意正数
恒成立,
∵
,
∴
,
即m的取值范围是
。
依题意,有
代入
∴
∴
解得:
又
∴
∴
(2)由(1)知,
∴
∴①-②,得
由
即
∴
∵
∴
即m的取值范围是
练习册系列答案
相关题目