题目内容
设数列{an}的前n项和为Sn,且a1=1,an+1=2Sn+1,数列{bn}满足a1=b1,点P(bn,bn+1)在直线x-y+2=0上,n∈N*.(Ⅰ)求数列{an},{bn}的通项公式;
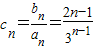
(Ⅱ)设
【答案】分析:(1)要求数列{an},{bn}的通项公式,先要根据已知条件判断,数列是否为等差(比)数列,由a1=1,an+1=2Sn+1,不难得到数列{an}为等比数列,而由数列{bn}满足a1=b1,点P(bn,bn+1)在直线x-y+2=0上,n∈N*,易得数列{bn}是一个等差数列.求出对应的基本量,代入即可求出数列{an},{bn}的通项公式.
(2)由(1)中结论,我们易得
,即数列{cn}的通项公式可以分解为一个等差数列和一个等比数列相乘的形式,则可以用错位相消法,求数列{cn}的前n项和Tn.
解答:解:(Ⅰ)由an+1=2Sn+1可得an=2Sn-1+1(n≥2),
两式相减得an+1-an=2an,
an+1=3an(n≥2).
又a2=2S1+1=3,
所以a2=3a1.
故{an}是首项为1,公比为3的等比数列.
所以an=3n-1.
由点P(bn,bn+1)在直线x-y+2=0上,所以bn+1-bn=2.
则数列{bn}是首项为1,公差为2的等差数列.
则bn=1+(n-1)•2=2n-1
(Ⅱ)因为
,所以
.
则
,
两式相减得:
.
所以
=
.
点评:解答特殊数列(等差数列与等比数列)的问题时,根据已知条件构造关于基本量的方程,解方程求出基本量,再根据定义确定数列的通项公式及前n项和公式,然后代入进行运算.
(2)由(1)中结论,我们易得
解答:解:(Ⅰ)由an+1=2Sn+1可得an=2Sn-1+1(n≥2),
两式相减得an+1-an=2an,
an+1=3an(n≥2).
又a2=2S1+1=3,
所以a2=3a1.
故{an}是首项为1,公比为3的等比数列.
所以an=3n-1.
由点P(bn,bn+1)在直线x-y+2=0上,所以bn+1-bn=2.
则数列{bn}是首项为1,公差为2的等差数列.
则bn=1+(n-1)•2=2n-1
(Ⅱ)因为
则
两式相减得:
所以
点评:解答特殊数列(等差数列与等比数列)的问题时,根据已知条件构造关于基本量的方程,解方程求出基本量,再根据定义确定数列的通项公式及前n项和公式,然后代入进行运算.
练习册系列答案
相关题目