题目内容
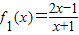
已知函数
【答案】分析:函数对于n∈N*,定义fn+1(x)=f1[fn(x)],故f2(x)=f1[f1(x)]=f1(
)=
.f3(x)=f1(
)=
,f4(x)=f1(
)=
,f5(x)=f1(
)=
,f6(x)=f1(
)=x,f7(x)=f1(x)=
.所以从f1(x)到f6(x),每6个一循环.由此能求出结果.
解答:解:∵函数对于n∈N*,定义fn+1(x)=f1[fn(x)],
∴f2(x)=f1[f1(x)]=f1(
)=
=
.
f3(x)=f1[f2(x)]=f1(
)=
=
,
f4(x)=f1[f3(x)]=f1(
)=
=
,
f5(x)=f1[f4(x)]=f1(
)=
=
,
f6(x)=f1[f5(x)]=f1(
)=
=x,
f7(x)=f1[f6(x)]=f1(x)=
=f1(x).
所以从f1(x)到f6(x),每6个一循环.
∵2011=335×6+1,
∴f2011(x)=
,
故答案为:
.
点评:本题考查函数的周期性,是基础题.解题时要认真审题,解题的关键是得到从f1(x)到f6(x),每6个一循环.
解答:解:∵函数对于n∈N*,定义fn+1(x)=f1[fn(x)],
∴f2(x)=f1[f1(x)]=f1(
f3(x)=f1[f2(x)]=f1(
f4(x)=f1[f3(x)]=f1(
f5(x)=f1[f4(x)]=f1(
f6(x)=f1[f5(x)]=f1(
f7(x)=f1[f6(x)]=f1(x)=
所以从f1(x)到f6(x),每6个一循环.
∵2011=335×6+1,
∴f2011(x)=
故答案为:
点评:本题考查函数的周期性,是基础题.解题时要认真审题,解题的关键是得到从f1(x)到f6(x),每6个一循环.
练习册系列答案
相关题目