题目内容
设Sn为数列{an}的前n项和,对任意的n∈N*,都有Sn=(m+1)-man(m为常数,且m>0)。
(1)求证:数列{an}是等比数列;
(2)设数列{an}的公比q=f(m),数列{bn}满足b1=2a1,bn=f(bn-1)(n≥2,n∈N*),求数列{bn}的通项公式;
(3)在满足(2)的条件下,求数列
的前n项和Tn。
(1)求证:数列{an}是等比数列;
(2)设数列{an}的公比q=f(m),数列{bn}满足b1=2a1,bn=f(bn-1)(n≥2,n∈N*),求数列{bn}的通项公式;
(3)在满足(2)的条件下,求数列
(1)证明:当n=1时,
,解得
;
当n≥2时,
, 即
,
∵m为常数,且m>0,∴
(n≥2),
∴数列
是首项为1,公比为
的等比数列。
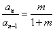
(2)解:由(1)得,![]()
,
,
∵
,
∴
,即![]()
,
∴
是首项为
,公差为1的等差数列,
∴
,即
(n∈N*)。
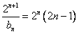
(3)解:由(2)知,
,则
,
所以,
,
即![]()
, ①
则
, ②
②-①得,
,
故
。
练习册系列答案
相关题目