题目内容
在△
中,角
的对边分别为
,若
,则
等于
.
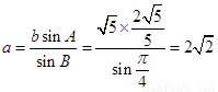
【答案】
![]()
【解析】
试题分析:因为,
,
,所以,
,
由正弦定理得,
.
考点:,三角函数同角公式,正弦定理.
练习册系列答案
相关题目
题目内容
在△
中,角
的对边分别为
,若
,则
等于
.
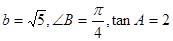
![]()
【解析】
试题分析:因为,
,
,所以,
,
由正弦定理得,
.
考点:,三角函数同角公式,正弦定理.