题目内容
已知
,向量
,
,且![]()
(1)求
的值;
(2)若
,
,求
的值.
已知
,向量
,
,且![]()
(1)求
的值;(2)若
,
,求
的值.
解:(1)因为
,所以
, --------1分
所以平方得,
, -------2分
----------3分
因为
,所以![]()
------4分
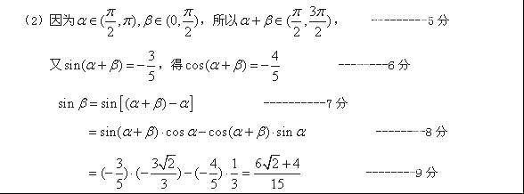
![]()
![]()
练习册系列答案
相关题目
题目内容
已知
,向量
,
,且![]()
(1)求
的值;
(2)若
,
,求
的值.
已知
,向量
,
,且![]()
(1)求
的值;(2)若
,
,求
的值.
解:(1)因为
,所以
, --------1分
所以平方得,
, -------2分
----------3分
因为
,所以![]()
------4分
![]()
![]()