题目内容
已知函数(1)求m的值;
(2)判定f(x)的奇偶性;
(3)判断f(x)在(0,+∞)上的单调性,并给予证明.
【答案】分析:(1)欲求m的值,只须根据f(4)=
的值,当x=4时代入f(x)解一个指数方程即可;
(2)求出函数的定义域x|x≠0},利用奇偶性的定义判断f(x)与f(-x)的关系,即可得到答案;
(3)利用单调性的定义证明即可.任取0<x1<x2,只要证明f(x1)>f(x2),即可.
解答:解:(1)因为
,所以
,所以m=1.
(2)因为f(x)的定义域为{x|x≠0},又
,
所以f(x)是奇函数.
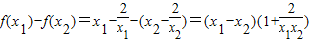
(3)任取x1>x2>0,则
,
因为x1>x2>0,所以
,所以f(x1)>f(x2),
所以f(x)在(0,+∞)上为单调增函数.
点评:本题主要考查了函数单调性的判断、函数奇偶性的判断,与证明及指数方程的解法.在判定函数奇偶性时,一定注意函数的定义域关于原点对称,属于基础题.
(2)求出函数的定义域x|x≠0},利用奇偶性的定义判断f(x)与f(-x)的关系,即可得到答案;
(3)利用单调性的定义证明即可.任取0<x1<x2,只要证明f(x1)>f(x2),即可.
解答:解:(1)因为
(2)因为f(x)的定义域为{x|x≠0},又
所以f(x)是奇函数.
(3)任取x1>x2>0,则
因为x1>x2>0,所以
所以f(x)在(0,+∞)上为单调增函数.
点评:本题主要考查了函数单调性的判断、函数奇偶性的判断,与证明及指数方程的解法.在判定函数奇偶性时,一定注意函数的定义域关于原点对称,属于基础题.
练习册系列答案
相关题目