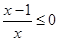
题目内容

已知的充分条件,则实数的取值范围是(    )

A.   B.    C.    D.

 

【答案】

A

【解析】

试题分析:由p:,所以1,由q:,又因为的充分条件,所以

解得,故选A.

考点:1.充分必要条件;2.指数不等式解法;3.分数不等式的解法.

 

练习册系列答案
相关题目

违法和不良信息举报电话:027-86699610 举报邮箱:58377363@163.com

精英家教网