题目内容

设矩形区域由直线所围成的平面图形,区域是由余弦函数 及所围成的平面图形.在区域内随机的抛掷一粒豆子,则该豆子落在区域的概率是      

 

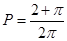
【答案】

【解析】

试题分析:区域的面积,

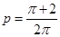
矩形区域的面积,所以该豆子落在区域的概率是.

考点:1、定积分;2、几何概型.

 

练习册系列答案
相关题目

违法和不良信息举报电话:027-86699610 举报邮箱:58377363@163.com

精英家教网