题目内容
若实数x,y,m满足|x-m|<|y-m|,则称x比y靠近m.(Ⅰ)若x+1比-x靠近-1,求实数x的取值范围;
(Ⅱ)①对任意x>0,证明:ln(1+x)比x靠近0;②已知数列{an}的通项公式为
【答案】分析:(Ⅰ)根据定义可得不等式,再按照绝对值不等式的解法求解,即可求实数x的取值范围;
(Ⅱ)①由题意,|ln(1+x)-0|-|x-0|=ln(1+x)-x,记f(x)=ln(1+x)-x,利用导数证明f(x)在(0,+∞)内单调递减,即可得到结论;
②利用①的结论,利用放缩法,结合等比数列的求和公式,即可得到结论.
解答:解:(Ⅰ)依题意,|x+1-(-1)|<|-x-(-1)|,即|x+2|<|x-1|. …(2分)
此不等式同解于 (x+2)2<(x-1)2,解得
. …(4分)
(Ⅱ)①因为x>0,所以 ln(1+x)>0,
所以|ln(1+x)-0|-|x-0|=ln(1+x)-x. …(6分)
记f(x)=ln(1+x)-x,则f(0)=0.
因为
,所以f(x)在(0,+∞)内单调递减.
所以f(x)<f(0)=0,即 ln(1+x)<x.
所以ln(1+x)比x靠近0. …(9分)
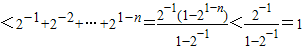
②显然21-n>0.由①的结论,得
,
所以a2a3…an<e.
又a1=2,所以a1a2a3…an<2e. …(14分)
点评:本题通过新定义来考查绝对值不等式的解法,考查不等式的证明,正确理解新定义是关键.
(Ⅱ)①由题意,|ln(1+x)-0|-|x-0|=ln(1+x)-x,记f(x)=ln(1+x)-x,利用导数证明f(x)在(0,+∞)内单调递减,即可得到结论;
②利用①的结论,利用放缩法,结合等比数列的求和公式,即可得到结论.
解答:解:(Ⅰ)依题意,|x+1-(-1)|<|-x-(-1)|,即|x+2|<|x-1|. …(2分)
此不等式同解于 (x+2)2<(x-1)2,解得
(Ⅱ)①因为x>0,所以 ln(1+x)>0,
所以|ln(1+x)-0|-|x-0|=ln(1+x)-x. …(6分)
记f(x)=ln(1+x)-x,则f(0)=0.
因为
所以f(x)<f(0)=0,即 ln(1+x)<x.
所以ln(1+x)比x靠近0. …(9分)
②显然21-n>0.由①的结论,得
所以a2a3…an<e.
又a1=2,所以a1a2a3…an<2e. …(14分)
点评:本题通过新定义来考查绝对值不等式的解法,考查不等式的证明,正确理解新定义是关键.
练习册系列答案
相关题目