题目内容
设an为等差数列,Sn为数列{an}的前n项的和.已知a3=3,S10=55(1)求数列an的通项公式an;
(2)若
【答案】分析:(1)设等差数列{an}中,由a3=3,S10=55,利用等差数列的通项公式和前n项和公式建立方程组,求出等差数列的首项和公差,由此能求出数列{an}的通项公式an.
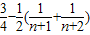
(2)由(1)知
,由此利用裂项求和法先求出Tn=
,由此能够证明
.
解答:(1)解:设等差数列an的公差为d,依题意,
得
,
解得
,
∴an=1+(n-1)×1=n.
(2)证明:由(1)知
,
∴Tn=b1+b2+b3+…+bn-1+bn
=
=
=
,
∵
<0,
∴
,
∴
.
点评:本题考查数列的通项公式的求法和不等式的证明,解题时要认真审题,注意等价转化思想和裂项求和法的合理运用.
(2)由(1)知
解答:(1)解:设等差数列an的公差为d,依题意,
得
解得
∴an=1+(n-1)×1=n.
(2)证明:由(1)知
∴Tn=b1+b2+b3+…+bn-1+bn
=
=
=
∵
∴
∴
点评:本题考查数列的通项公式的求法和不等式的证明,解题时要认真审题,注意等价转化思想和裂项求和法的合理运用.
练习册系列答案
相关题目