题目内容
在等比数列{an}中,a11+a12=a,a21+a22=b(ab≠0),则a101+a102= .
【答案】分析:由等比数列的性质,求出新数列的公比,则由等比数列的通项公式可得答案.
解答:解:因为数列{an}为等比数列,设其公比为q,
所以a1+a2,a11+a12,…仍然构成等比数列,且公比为q10.
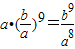
由a11+a12=a,a21+a22=b(ab≠0),得
,
所以a101+a102=
=
.
故答案为
.
点评:本题考查了等比数列的通项公式,考查了等比数列的性质,关键是理解并掌握a1+a2,a11+a12,…仍然构成等比数列,是基础题.
解答:解:因为数列{an}为等比数列,设其公比为q,
所以a1+a2,a11+a12,…仍然构成等比数列,且公比为q10.
由a11+a12=a,a21+a22=b(ab≠0),得
所以a101+a102=
故答案为
点评:本题考查了等比数列的通项公式,考查了等比数列的性质,关键是理解并掌握a1+a2,a11+a12,…仍然构成等比数列,是基础题.
练习册系列答案
相关题目
在等比数列{an}中,若a1=1,公比q=2,则a12+a22+…+an2=( )
| A、(2n-1)2 | ||
B、
| ||
| C、4n-1 | ||
D、
|