题目内容
椭圆C:的两个焦点为,点在椭圆C上,且
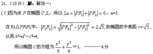
(Ⅰ)求椭圆C的方程;
(Ⅱ)若直线l过圆的圆心,交椭圆C于两点,且关于点对称,求直线l的方程.
(06年北京卷文)(14分)
椭圆C:的两个焦点为F1,F2,点P在椭圆C上,且
(Ⅱ)若直线l过圆x2+y2+4x-2y=0的圆心,交椭圆C于两点,且A、B关于点M对称,求直线l的方程.
(本题12分)椭圆C:的两个焦点为F1,F2,点P在椭圆C上,且(1)求椭圆C的方程;
(2)若直线l过圆x2+y2+4x-2y=0的圆心M,交椭圆C于两点,且A、B关于点M对称,求直线l的方程.