题目内容
若点O和点F(-2,0)分别是双曲线A.
B.
C.
D.
【答案】分析:先根据双曲线的焦点和方程中的b求得a,则双曲线的方程可得,设出点P,代入双曲线方程求得y的表达式,根据P,F,O的坐标表示出
,进而求得
的表达式,利用二次函数的性质求得其最小值,则
的取值范围可得.
解答:解:因为F(-2,0)是已知双曲线的左焦点,
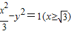
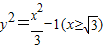
所以a2+1=4,即a2=3,所以双曲线方程为
,
设点P(x,y),
则有
,解得
,
因为
,
,
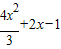
所以
=x(x+2)+
=
,
此二次函数对应的抛物线的对称轴为
,
因为
,
所以当
时,
取得最小值
=
,
故
的取值范围是
,
故选B.
点评:本题考查待定系数法求双曲线方程,考查平面向量的数量积的坐标运算、二次函数的单调性与最值等,考查了同学们对基础知识的熟练程度以及知识的综合应用能力、运算能力.
解答:解:因为F(-2,0)是已知双曲线的左焦点,
所以a2+1=4,即a2=3,所以双曲线方程为
设点P(x,y),
则有
因为
所以
此二次函数对应的抛物线的对称轴为
因为
所以当
故
故选B.
点评:本题考查待定系数法求双曲线方程,考查平面向量的数量积的坐标运算、二次函数的单调性与最值等,考查了同学们对基础知识的熟练程度以及知识的综合应用能力、运算能力.
练习册系列答案
相关题目
若点O和点F(-2,0)分别是双曲线
-y2=1(a>0)的中心和左焦点,点P为双曲线右支上的任意一点,则
•
的取值范围为( )
| x2 |
| a2 |
| OP |
| FP |
A、[3-2
| ||
B、[3+2
| ||
C、[-
| ||
D、[
|