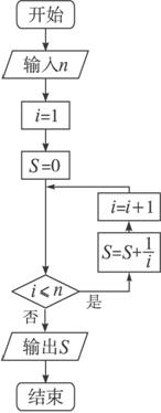
题目内容
解析:
设数列的前项和为,对任意的正整数,都有成立,记。
(I)求数列的通项公式;
(II)记,设数列的前项和为,求证:对任意正整数都有;
(III)设数列的前项和为。已知正实数满足:对任意正整数恒成立,求的最小值。