题目内容
已知函数f(x)=x2+bsinx-2(b∈R),F(x)=f(x)+2,且对于任意实数x,恒有F(x-5)=F(5-x).(1)求函数f(x)的解析式;
(2)函数
【答案】分析:(1)先表示出F(x)的表达式,再根据对任意实数x,恒有F(x-5)=F(5-x)得到F(x)-F(-x)=0,我们可以求出b的值,进而可确定函数f(x)的解析式;
(2)利用导数法,求出h(x)=ln(1+x2)-
f(x)的极值,将k与极值进行比较,即可得到结论
解答:解:(1)由题设得F(x)=x2+bsinx,…(1分)
∵F(x-5)=F(5-x),
∴F(-x)=F(x),…(2分)
所以x2-bsinx=x2+bsinx
所以bsinx=0对于任意实数x恒成立.
∴b=0.…(3分)
故f(x)=x2-2.…(4分)
(2)令
,
则
.…(6分)
令y′=0,则x=-1,0,1,
当x变化时,y′,y的变化列表如下.
…(9分)
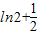
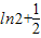
∴k>
时,无零点;
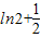
k<1或k=
时,有两个零点;
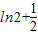
k=1时有三个零点;
时,有四个零点.…(12分)
点评:本题考查利用奇函数的性质求函数的解析式,考查了函数的零点以及利用导数研究函数的最值,同时考查了计算能力,属于中档题.
(2)利用导数法,求出h(x)=ln(1+x2)-
解答:解:(1)由题设得F(x)=x2+bsinx,…(1分)
∵F(x-5)=F(5-x),
∴F(-x)=F(x),…(2分)
所以x2-bsinx=x2+bsinx
所以bsinx=0对于任意实数x恒成立.
∴b=0.…(3分)
故f(x)=x2-2.…(4分)
(2)令
则
令y′=0,则x=-1,0,1,
当x变化时,y′,y的变化列表如下.
| x | (-∞,-1) | -1 | (-1,0) | (0,1) | 1 | (1,+∞) | |
| y′ | + | - | + | - | |||
| y | 递增[来源:.Com] | 极大值 | 递减 | 极小值1 | 递增 | 极大值 | 递减 |
∴k>
k<1或k=
k=1时有三个零点;
点评:本题考查利用奇函数的性质求函数的解析式,考查了函数的零点以及利用导数研究函数的最值,同时考查了计算能力,属于中档题.
练习册系列答案
相关题目
| π |
| 2 |
A、f(x)=2sin(πx+
| ||
B、f(x)=2sin(2πx+
| ||
C、f(x)=2sin(πx+
| ||
D、f(x)=2sin(2πx+
|