题目内容
设函数f(x)=|2x+1|﹣|x﹣4|.
(1)求不等式f(x)>2的解集;
(2)求函数f(x)的最小值.
(1)求不等式f(x)>2的解集;
(2)求函数f(x)的最小值.
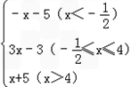
解:f(x)=
(1)①由
,解得x<﹣7;
②
,解得
<x≤4;
③
,解得x>4;
综上可知不等式的解集为{x|x<﹣7或x>
}.
(2)如图可知f(x)min=﹣
.
(1)①由
②
③
综上可知不等式的解集为{x|x<﹣7或x>
(2)如图可知f(x)min=﹣
练习册系列答案
相关题目