题目内容
已知方程A.(-∞,-2)∪(-1,+∞)
B.(-∞,-2)
C.(-1,+∞)
D.(-2,-1)
【答案】分析:根据双曲线的焦点在x轴或在y轴进行讨论,分别建立关于m的不等式组,解之即可得到实数m的取值范围.
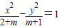
解答:解:∵方程
表示双曲线,
∴当双曲线的焦点在x轴上时,
,解之得m>-1;
当双曲线的焦点在y轴上时,
,解之得m<-2
因此,实数m的取值范围为(-∞,-2)∪(-1,+∞)
故选:A
点评:本题给出含有参数m的二次曲线方程,在已知方程表示双曲线时求参数m的取值范围,着重考查了双曲线的标准方程和简单性质等知识,属于基础题.
解答:解:∵方程
∴当双曲线的焦点在x轴上时,
当双曲线的焦点在y轴上时,
因此,实数m的取值范围为(-∞,-2)∪(-1,+∞)
故选:A
点评:本题给出含有参数m的二次曲线方程,在已知方程表示双曲线时求参数m的取值范围,着重考查了双曲线的标准方程和简单性质等知识,属于基础题.
练习册系列答案
相关题目