题目内容
已知m∈R,直线l:mx-(m2+1)y= 4m和圆C:x2+y2-8x+4y+16=0。
(1)求直线l斜率的取值范围;
(2)直线l能否将圆C分割成弧长的比值为
的两段圆弧?为什么?
(1)求直线l斜率的取值范围;
(2)直线l能否将圆C分割成弧长的比值为
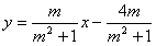
解:(1)直线l的方程可化为

直线l的斜率
,
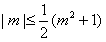
因为
所以
,
当且仅当|m|=1时等号成立,
所以,斜率k的取值范围是
。
(2)不能,
由(1)知l的方程为y=k(x-4),其中
圆C的圆心为C(4,-2),半径r=2
圆心C到直线l的距离
由
,得
,
即
从而,若l与圆C相交,则圆C截直线l所得的弦所对的圆心角小于
所以l不能将圆C分割成弧长的比值为
的两段弧。
直线l的斜率
因为
所以
当且仅当|m|=1时等号成立,
所以,斜率k的取值范围是
(2)不能,
由(1)知l的方程为y=k(x-4),其中
圆C的圆心为C(4,-2),半径r=2
圆心C到直线l的距离
由
即
从而,若l与圆C相交,则圆C截直线l所得的弦所对的圆心角小于
所以l不能将圆C分割成弧长的比值为
练习册系列答案
相关题目