题目内容
定义在(-1,1)上的函数f(x)满足:①对任意x,y∈(-1,1)都有(Ⅰ)判断f(x)在(-1,1)上的奇偶性,并说明理由;
(Ⅱ)判断函数f(x)在(0,1)上的单调性,并说明理由;
(Ⅲ)若______,试求
【答案】分析:(1)判断函数f(x)的奇偶性:①判断函数定义域是否关于原点对称,②判断f(-x)与f(x)的关系.
(2)证明函数f(x)的单调性,利用定义,分五步①设元,②作差,③变形,④判号,⑤下结论.
(3)利用题中所给的等式,把要求的已知的相结合,逐步求出要求的值.
解答:解:(Ⅰ)令x=y=0⇒f(0)=0.
令y=-x,则f(x)+f(-x)=0⇒f(-x)=-f(x)⇒f(x)在(-1,1)上是奇函数.
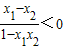
(Ⅱ)设0<x1<x2<1,则
,
而x1-x2<0,0<x1x2<1⇒
.
∴
>0.即 当x1<x2时,f(x1)>f(x2).
∴f(x)在(0,1 )上单调递减.
(Ⅲ)由于
,
,
,
∴
.
点评:本题考查了抽象函数的奇偶性,单调性,与具体函数的证明方法相同,做题一定要抓牢定义,特别是证明题,一切方法源根本,属中档题.
(2)证明函数f(x)的单调性,利用定义,分五步①设元,②作差,③变形,④判号,⑤下结论.
(3)利用题中所给的等式,把要求的已知的相结合,逐步求出要求的值.
解答:解:(Ⅰ)令x=y=0⇒f(0)=0.
令y=-x,则f(x)+f(-x)=0⇒f(-x)=-f(x)⇒f(x)在(-1,1)上是奇函数.
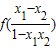
(Ⅱ)设0<x1<x2<1,则
而x1-x2<0,0<x1x2<1⇒
∴
∴f(x)在(0,1 )上单调递减.
(Ⅲ)由于
∴
点评:本题考查了抽象函数的奇偶性,单调性,与具体函数的证明方法相同,做题一定要抓牢定义,特别是证明题,一切方法源根本,属中档题.
练习册系列答案
相关题目