搜索
题目内容
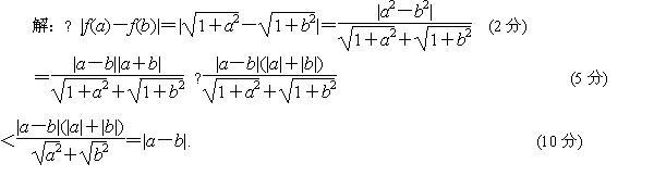
选修4-5:不等式选讲.
已知
,
a
≠
b
,求证:|
f
(
a
)-
f
(
b
)|<|
a
-
b
|.
试题答案
相关练习册答案
练习册系列答案
初中英语听力与阅读系列答案
领航英语阅读理解与完形填空系列答案
英语拓展听力与阅读系列答案
阅读组合突破系列答案
初中英语阅读系列答案
全程探究阅读系列答案
全方位阅读系列答案
创新阅读文言文阅读训练系列答案
导读诵读阅读初中英语读本系列答案
新编初中古诗文阅读与拓展训练系列答案
相关题目
(1)选修4-2:矩阵与变换
二阶矩阵M对应的变换将点(1,-1)与(-2,1)分别变换成点(-1,-1)与(0,-2).
(Ⅰ)求矩阵M的逆矩阵M
-1
;
(Ⅱ)设直线l在变换M作用下得到了直线m:2x-y=4,求l的方程.
(2)选修4-4:坐标系与参数方程
已知直线的极坐标方程为
ρsin(θ+
π
4
)=
2
2
,圆M的参数方程为
x=2cosθ
y=-2+2sinθ
(其中θ为参数).
(Ⅰ)将直线的极坐标方程化为直角坐标方程;
(Ⅱ)求圆M上的点到直线的距离的最小值.
(3)选修4一5:不等式选讲
已知函数f(x)=|x-1|+|x+3|.
(Ⅰ)求x的取值范围,使f(x)为常数函数;
(Ⅱ)若关于x的不等式f(x)-a≤0有解,求实数a的取值范围.
选修4一5:不等式选讲
设a∈R且
a≠-
2
,比较
2
2
+a
与
2
-a
的大小.
本题有(1)、(2)、(3)三个选答题,每题7分,请考生任选2题作答,满分14分.如果多作,则按所做的前两题计分.作答时,先用2B铅笔在答题卡上把所选题目对应的题号涂黑,并将选题号填入括号中.
(1)选修4一2:矩阵与变换
求矩阵
A=
2,1
3,0
的特征值及对应的特征向量.
(2)选修4一4:坐标系与参数方程
已知直线l的参数方程:
x=t
y=1+2t
(t为参数)和圆C的极坐标方程:
ρ=2
2
sin(θ+
π
4
)
.
(Ⅰ)将直线l的参数方程化为普通方程,圆C的极坐标方程化为直角坐标方程;
(Ⅱ)判断直线l和圆C的位置关系.
(3)选修4一5:不等式选讲
已知函数f(x)=|x-1|+|x-2|.若不等式|a+b|+|a-b|≥|a|f(x)(a≠0,a,b∈R)恒成立,求实数x的范围.
(2012•许昌县一模)选修4一5:不等式选讲
设函数f(x)=|x-1|+|x-a|.
(I)若a=-1,解不等式,f(x)≥3;
(II)如果对于任意实数x,恒有f(x)≥2成立,求a的取值范围.
(2012•郑州二模)选修4一5:不等式选讲
设函数f(x)=|2x-a|+5x,其中a>0.
(Ⅰ)当a=3时,求不等式f(x)≥5x+1的解集;
(Ⅱ)若不等式f(x)≤0的解集为{x|x≤-1},求a的值.
关 闭
试题分类
高中
数学
英语
物理
化学
生物
地理
初中
数学
英语
物理
化学
生物
地理
小学
数学
英语
其他
阅读理解答案
已回答习题
未回答习题
题目汇总
试卷汇总
练习册解析答案